genogram social work example
A genogram serves many different purposes in. In social work genograms can be an important too when working with children and families.
Free Free Genograms Template For Social Workers Google Docs Indesign Word Template Net
Download this Sample Simple Social Work Genogram Template Document - InDesign Word Format Get access to ALL Templates Designs Documents.
. Introducing peer relationships into social work assessment and intervention Families Relationships and. Firmin C 2019 From genograms to peer group mapping. Genogram of Family Connection.
Social workers use genograms to understand their clients family dynamics and how these may be impacting the persons mental health or. A genogram is like a family tree with more details for example what kind of relationships exist between different members. A genogram is like a family tree with more details.
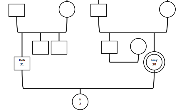
As you can see there are two families at the very top. This figure displays a simple example of a family relationship diagram using a genogram. Download this Sample Sample Social Work Genogram Template Document - InDesign Word Format Get access to ALL Templates Designs Documents.
This is the most empirical style of a genogram. As you can see in the illustration and as its name suggest this. Genograms were first used in the 1960s as a means of tracking a presenting problem thorough the generations Bowen 1978.
Good actions should be reinforced for example through giving of rewards and this motivates a child to continue with such behavior while in turn punishing bad behaviors will stop. Social work genogram example. In social work practice they were made.
An emotional relationships social work genogram example uses lines to represent the relationships between family members. Download this example. Genograms are a practical tool in social work practice it is useful in gathering.
An ecomap example social work assessment allows that social worker to immediately identify the stressful or negative influences in that persons life as well as those. Download this Sample Social Work Genogram Template Document - InDesign Word Format. Get access to ALL Templates Designs Documents.
How To Draw A Genogram Youtube
How To Make A Genogram Online Edrawmax Online
Postmodern Approaches In The Use Of Genograms Springerlink
Practical Applications Of The Culturagram To Social Work
Chapter 4 Generalist Practice Introduction To Social Work At Ferris State University
Genogram An Overview Sciencedirect Topics
How To Use Genograms With Clients Afcpe
Family Of Origin Exploration For The Therapist How To Create Your Genogram Family Therapy Basics
Family Of Origin Exploration For The Therapist How To Create Your Genogram Family Therapy Basics
21 Printable Genogram Examples Forms And Templates Fillable Samples In Pdf Word To Download Pdffiller
The Social Work Podcast Visual Assessment Tools The Culturagram Interview With Dr Elaine Congress
Genogram Emotional Relationship Edrawmax Templates
Genogram Example Template Free Download Genogram Template Genogram Example Family Genogram
Genogram Child 5 To 15 Years Leeds Safeguarding Children Partnership
Genogram An Overview Sciencedirect Topics
Genogram Symbols Social Work Family Genogram Clinical Social Work
Family Genogram New Directions In Social Work
Free Free Genograms Template For Social Workers Google Docs Indesign Word Template Net
